温馨提示
清晨薄雾未散,一群热忱的身影已在学校操场集合。11月6日7点20分,微风轻拂间,初一年级领队辅导员姜主任的讲解如号角拉开11月6日红色教育活动序幕,从活动规则到安全须知,话语承载对红色之旅的期许。

7点30分,汽车引擎打破清晨静谧,70公里路程、约1.5小时车程后,众人驶向门头沟区“斋堂挺进军司令部”。古老建筑群映入眼帘,历史的厚重感扑面而来。
铭记历史守初心

开营仪式:红色研学启幕
校领导、基地负责人登台:嘱托寄期待,介绍铺脉络。

展厅探史:解锁斋堂战斗记忆
走进展馆,老物件与史料还原“堡垒村”烽火,让课本里的“平西抗日”变鲜活过往。

手作寄情:把敬意藏进细节
听抗日英雄邓华、赖富、白乙化的故事,为先烈折一朵小白花——指尖温度里,“致敬”成了能捧在手的心意。

马栏村的红色文化肌理
若展厅是历史的“缩影盒”,那么马栏村则是红色文化的“活态博物馆”。11点整,全员开启“探究马栏村红色文化”征程:2公里徒步,脚步丈量的不只是距离,更是先辈们的艰辛与坚守。

实地考察“冀热察挺进军司令部旧址、十团团部”,一砖一瓦间似闻当年军号与呐喊;3D影视光影交错,将隐蔽战线上的智慧勇气,以强烈的视觉冲击力呈现。

“忆苦饭”环节别具深意,以班级为单位围坐,粗茶淡饭间“光盘行动”与“垃圾分类”细节被反复强调——红色教育是生活点滴里的传承与责任。

烈士纪念碑下的信念传承
站立在庄严肃穆的“宛平烈士纪念碑”前,同学们对先烈的崇敬之情油然而生。擦拭挽联、集体默哀,颤抖的指尖和凝重的神情表达着对先烈们的无限敬仰和怀念。最后师生依次向烈士敬献亲手制作小白花。白花轻落,信仰增重——先辈用生命换来的和平,是必须捍卫的底线。

精神“朝圣”后的成长
14点20分,集合哨声响起,一天行程画上句点。返程汽车里少了喧闹,多了沉思后的坚定。这场红色教育不是简单“打卡式”参观,而是一次精神“朝圣”。未来,这份经历将化为同学们历史认知、文化认同与信念坚守的养分。

斋堂红色传统革命教育基地一日活动实践中同学更是受益匪浅。
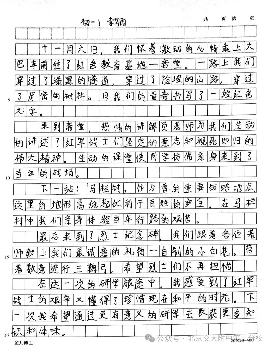
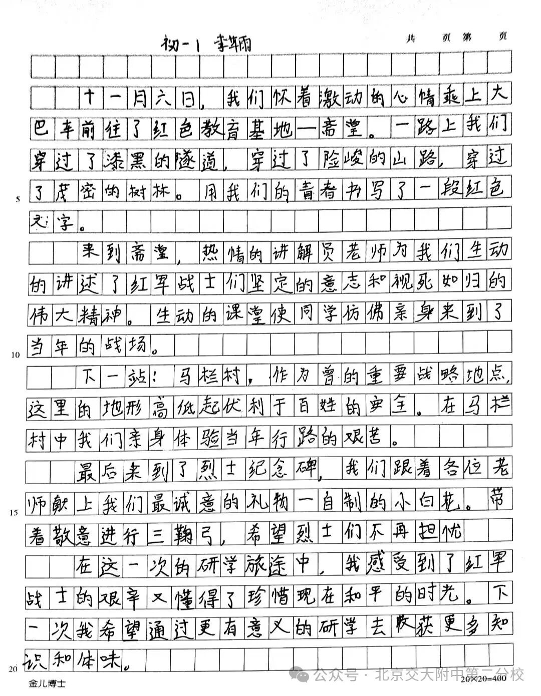
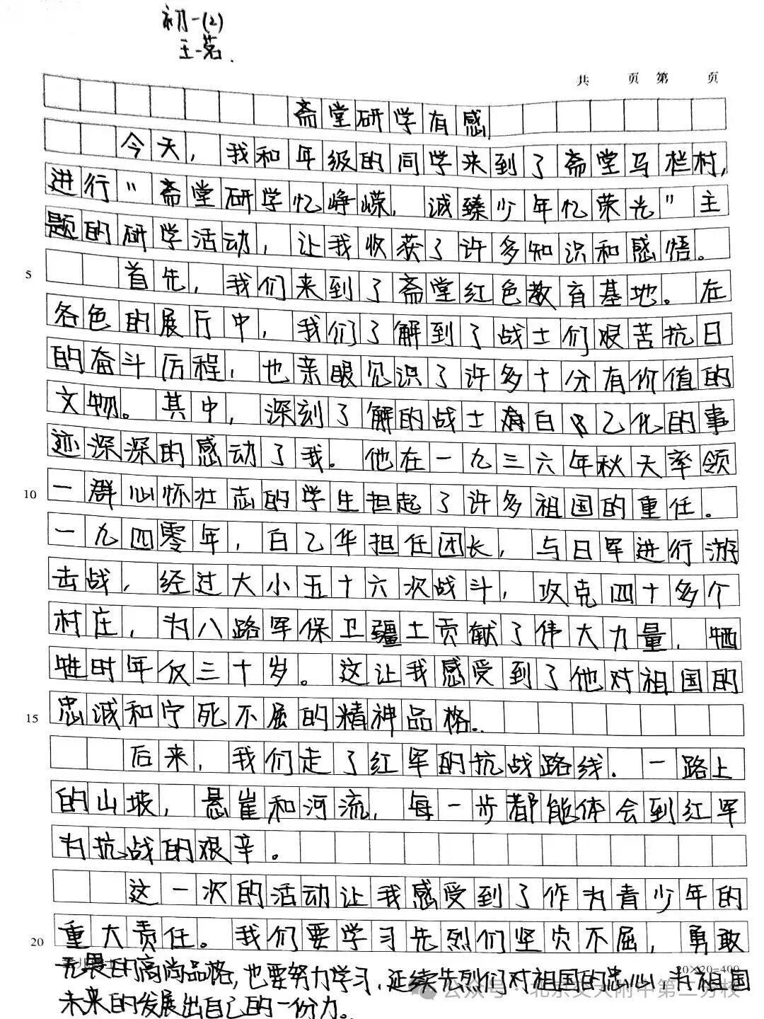
学生优秀手册展示:


优秀研学日记展示


手机扫一扫,移动端观看分享
转载请注明来源